A. Notasi Sigma
Notasi sigma dilambangkan dengan huruf kapital Yunani ∑
, yang menyatakan suatu jumlah.
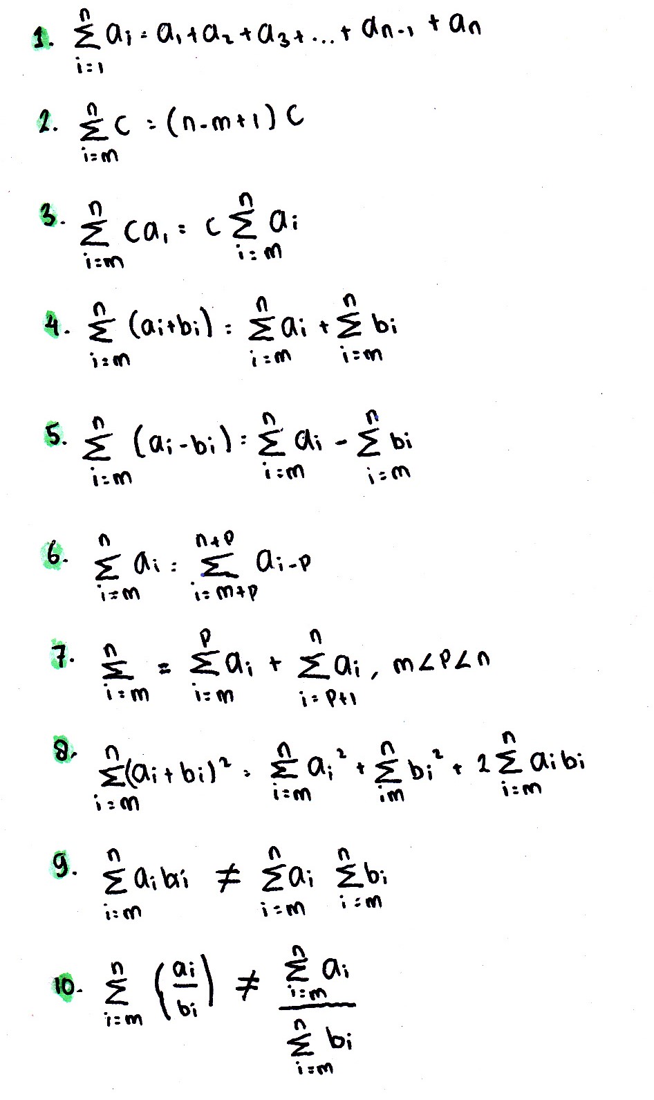
Sifat - sifat notasi sigma :
Sifat - sifat notasi sigma :
Induksi matematika adalah proses teorema (pernyataan) dari
kasus-kasus khusus yang berlaku untuk setiap bilangan asli.
Langkah-langkah pembuktian terhadap pernyataan P(n) berlaku
untuk bilangan asli n:
① Buktikan P(n) benar untuk n=1
② Buktikan P(n) benar untuk n=k, sehingga P(k) benar
③ Buktikan P(n) benar untuk n=k+1, sehingga P(k+1) benar
C. Rumus-rumus Barisan dan Deret
- Un = a+(n-1)b
- Sn = n/2(2a+(n-1)b)
- Sn = n/2 (a+Un)
Keterangan :
a = U1 = suku pertama
n = 1, 2, 3 ,4 dst.
Un = suku ke-n
Sn = jumlah suku ke-n
